How To Simplify Square Roots
12 is simpler as 23 get your calculator and check if you want.

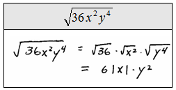
How to simplify square roots. Next use the perfect square you just found to rewrite your square root as a. If the number under the square root is even divide it by 2. Perfect squares are numbers that are equal to a number times itself. Simplifying square roots fbt duration.
Right from how to simplify square root fractions to scientific we have all kinds of things discussed. Rewrite the square root. So this is just going to simplify to 3. The goal of simplifying a square root is to rewrite it in a form that is easy to understand and.
How to simplify square roots easy math guide step 1. There are mathematical methods to approximate square roots but it is much more convenient to use a calculator to find square roots. Free square roots calculator find square roots of any number step by step this website uses cookies to ensure you get the best experience. Divide by the smallest prime number possible.
Your step by step guide to learning how to simplify a square root analyzing a perfect square. Rewrite the square root. Find a perfect square. Simplify a fraction under a square root legal cheating for math duration.
Before we dive into analyzing any square roots you will want to make sure that you know the. So this whole thing is 5 times 3 times the square root of 13. By using this website you agree to our cookie policy. To simplify a square root.
Make the number inside the square root as small as possible but still a whole number. Simplify square root expressions our mission is to provide a free world class education to anyone anywhere. They are both the same value. So i know these technical properties are difficult to understand.
Any of those well thats just going to give you 3. Lets take a. Lets do one more example here. Product property of radicals.
So this part right over here would give us 15 times the square root of 13. Khan academy is a 501c3 nonprofit organization. Thats the square root of 3 squared. So lets try to simplify 3 times the square root of 26.
Brian mclogan 113119 views.












































































