How To Multiply Rational Expressions
Multiply divide rational expressions advanced.
![]()
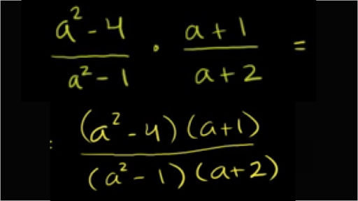
How to multiply rational expressions. A rational expression is a fraction in which either the numerator or the denominator or both the numerator and the denominator are algebraic expressions. Several examples worked out step by step. To multiply two rational expressions multiply the numerators together and then multiply the denominators together. The best way how to learn how to multiply rational expressions is to do it.
A fraction is in simplest form if the greatest common divisor is color red1 1. How to multiply and divide rational expressions. Therefore when you multiply rational expressions apply what you know as if you are multiplying fractions. The situation is much the same with rational expressions that is with polynomial fractions.
To divide one rational expression by another follow the same rules as dividing one fraction by another. When two fractions are multiplied we multiply the numerators of the fractions to form the new numerator and we do the same for the denominators. Multiple variables dividing rational expressions. In other words you multiply the numerators with each other and the denominators with each other.







































































