How To Find Distance With Acceleration And Time
There will be a time trial of 80 seconds.
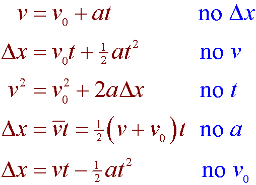
How to find distance with acceleration and time. Find acceleration with velocity and distance using the formula. In a physics equation given a constant acceleration and the change in velocity of an object you can figure out both the time involved and the distance traveled. The equation used is s ut at 2. Finding distance using initial velocity time and acceleration.
The time starts at the beginning of the acceleration from the rest position. It is manipulated below to show how to solve for each individual variable. If you choose 2 enter initial speed vi distance traveled ddand time dtpassed during acceleration. Calculate distance at acceleration calculator for the length of the distance that is covered at a constant acceleration in a certain time.
The constant acceleration equations. I also tried taking the square root of the answer however that too is incorrect. Calculator use this displacement calculator finds the distance traveled or displacement s of an object using its initial velocity u acceleration a and time t traveled. The distance d is measured in meters if the acceleration a is measured in meters per second squared.
The calculator can be used to solve for s u a or t. Please enter two of the three values and choose the units the third value will be calculated. I tried to find time by using only distance and acceleration so fracvf via frac18005 360 s. Now find the total distance traveled.
However this is incorrect. In a physics equation given initial velocity time and acceleration you can find an objects displacement. A particle starts moving from rest with a constant acceleration. First at all select an appropriate window1 2 or 3 if you choose 1 enter the initial viand final vfspeeds of the object and how much time dtit took for the speedto change.
A v2 u2 2s this applies to constant acceleration only and a stands for acceleration v means final velocity u means starting velocity and s is the distance travelled between the starting and final velocity. There you are the tour de france hero ready to give a demonstration of your bicycling skills.













































































