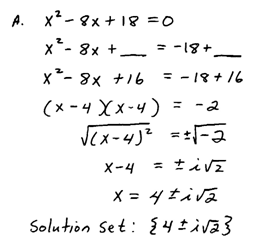
How To Complete The Square Example


Completing The Square Practice Problems Video Lesson

Completing The Square Practice Problems Video Lesson

Completing The Square

Completing The Square

Completing The Square

Completing The Square

Completing The Square Formula Equation Examples X 2 X 2 Steps

Completing The Square Formula Equation Examples X 2 X 2 Steps

Solve Quadratic Equations By Completing The Square Ppt Download

Solve Quadratic Equations By Completing The Square Ppt Download