How To Solve Cubic Equations In Excel


Cubic Equation Solver In Excel لم يسبق له مثيل الصور Tier3 Xyz

Cubic Equation Solver In Excel لم يسبق له مثيل الصور Tier3 Xyz

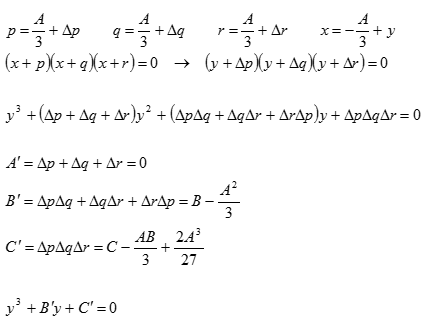
The Cubic Formula

The Cubic Formula

Excel Formula Cube Root Of Number Exceljet

Excel Formula Cube Root Of Number Exceljet

Solving Cubic And Quartic Equations With Excel Newton Excel Bach

Solving Cubic And Quartic Equations With Excel Newton Excel Bach

How To Solve Polynomial Equations In Excel By Goal Seek Method

How To Solve Polynomial Equations In Excel By Goal Seek Method