How To Reduce Cotinine Levels


Assessment Of Smoking Status Based On Cotinine Levels In Nasal

Assessment Of Smoking Status Based On Cotinine Levels In Nasal

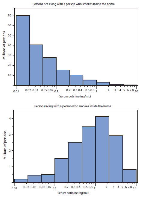
Exposure To Secondhand Smoke Among Nonsmokers United States

Exposure To Secondhand Smoke Among Nonsmokers United States

Simultaneous Measurement Of Urinary Total Nicotine And Cotinine As

Simultaneous Measurement Of Urinary Total Nicotine And Cotinine As

Differences Between The Effects Of Conventional Cigarettes E

Differences Between The Effects Of Conventional Cigarettes E

Yazdir Klinik Calisma Research Article Doi 10 5578 Tt

Yazdir Klinik Calisma Research Article Doi 10 5578 Tt