How To Make A Modified Box Plot


Box Plot Maker Mathcracker Com

Box Plot Maker Mathcracker Com

Box And Whisker Plots Read Statistics Ck 12 Foundation

Box And Whisker Plots Read Statistics Ck 12 Foundation

Https Encrypted Tbn0 Gstatic Com Images Q Tbn 3aand9gct4blvnnyv0gbsntkyf0vwzlqmedbo1gut6iobxs4nlmsgl8m62t8b2gcjklvau9prpq5k8qtlifosa Gxmfk5p Usqp Cau

Https Encrypted Tbn0 Gstatic Com Images Q Tbn 3aand9gct4blvnnyv0gbsntkyf0vwzlqmedbo1gut6iobxs4nlmsgl8m62t8b2gcjklvau9prpq5k8qtlifosa Gxmfk5p Usqp Cau

Excel Box And Whisker Diagrams Box Plots Peltier Tech Blog

Excel Box And Whisker Diagrams Box Plots Peltier Tech Blog

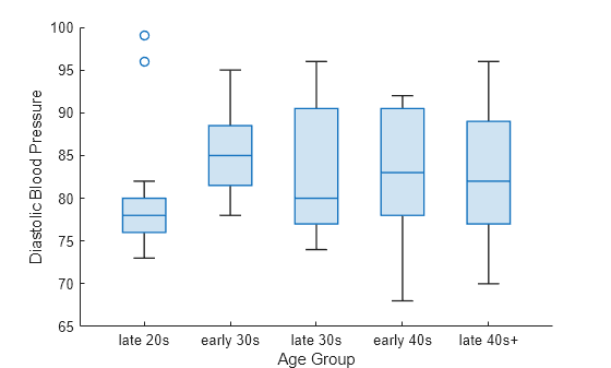
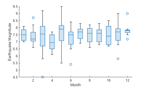
Modified Box Plots

Modified Box Plots