How To Find Time In Physics


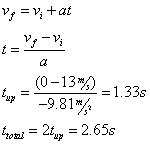
Regents Physics Projectile Motion

Regents Physics Projectile Motion

How To Calculate Average Velocity 12 Steps With Pictures

How To Calculate Average Velocity 12 Steps With Pictures

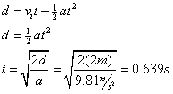
Displacement Calculator S Ut 1 2 At 2

Displacement Calculator S Ut 1 2 At 2

Free Fall Calculator Omni

Free Fall Calculator Omni

Power And Work Done Examples Solutions Videos Notes

Power And Work Done Examples Solutions Videos Notes