How To Find The Independent Variable


Greeat Science Astronomyteacher Com Jeff Adkins

Greeat Science Astronomyteacher Com Jeff Adkins

3 Simple Ways To Identify Dependent And Independent Variables

3 Simple Ways To Identify Dependent And Independent Variables

Regard Y As The Independent Variable And X As The Dependent

Regard Y As The Independent Variable And X As The Dependent

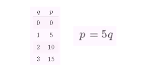
Solved The Following Table Shows Sample Data About Two Va

Solved The Following Table Shows Sample Data About Two Va

Using A Hypothesis To Find Variables

Using A Hypothesis To Find Variables