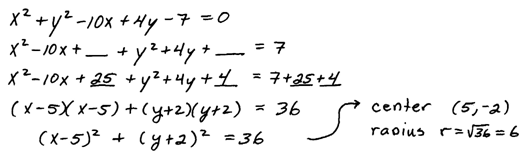
How To Find The Center And Radius Of A Circle With An Equation


Complete The Square Find Radius And Center Of Sphere Youtube

Complete The Square Find Radius And Center Of Sphere Youtube

Find Equation Of A Circle Given Center And Radius Tessshebaylo

Find Equation Of A Circle Given Center And Radius Tessshebaylo

1 5 Circles Lesson Objectives Write The Standard Form Of The Equation Of A Circle Graph A Circle By Hand And With A Calculator Using The Standard Ppt Download

1 5 Circles Lesson Objectives Write The Standard Form Of The Equation Of A Circle Graph A Circle By Hand And With A Calculator Using The Standard Ppt Download

How To Find The Center And Radius Of A Circle Kristakingmath Youtube

How To Find The Center And Radius Of A Circle Kristakingmath Youtube

Circle Equations Harder Example Video Khan Academy

Circle Equations Harder Example Video Khan Academy