How To Factor Polynomials With 3 Terms Khan Academy


Polynomial Expressions Equations Functions Khan Academy

Polynomial Expressions Equations Functions Khan Academy

Factoring Quadratics In Any Form Article Khan Academy

Factoring Quadratics In Any Form Article Khan Academy

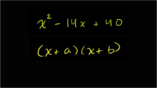
Factoring Quadratics Leading Coefficient 1 Article Khan Academy

Factoring Quadratics Leading Coefficient 1 Article Khan Academy

Module 4 Polynomial And Quadratic Expressions Equations And

Module 4 Polynomial And Quadratic Expressions Equations And

Solve Systems Of Linear Equations With Elimination Advanced

Solve Systems Of Linear Equations With Elimination Advanced