How To Do Matrix Multiplication


Matrix Multiplication How To Multiply Two Matrices Together Step

Matrix Multiplication How To Multiply Two Matrices Together Step

Introduction To Matrices And Matrix Arithmetic For Machine Learning

Introduction To Matrices And Matrix Arithmetic For Machine Learning

Matrix Multiplication Dimensions Article Khan Academy

Matrix Multiplication Dimensions Article Khan Academy

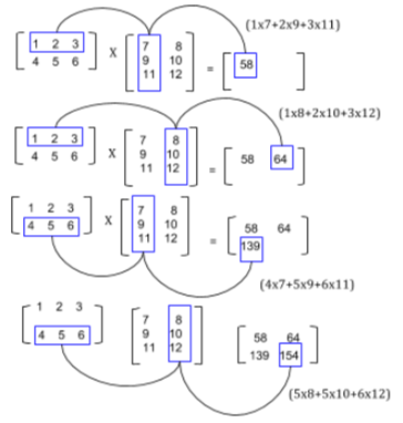
Matrix Multiplication Solutions Examples Videos

Matrix Multiplication Solutions Examples Videos

Multiplying Matrices Mathbootcamps

Multiplying Matrices Mathbootcamps