How To Do Integration By Parts


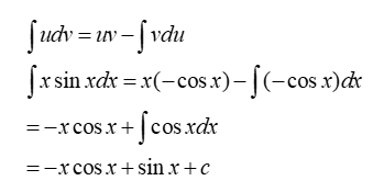
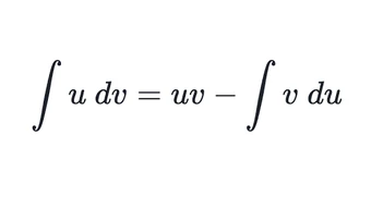
Integration By Parts

Integration By Parts

Using Integration By Parts Video Lesson Transcript Study Com

Using Integration By Parts Video Lesson Transcript Study Com

Symbolab Blog Advanced Math Solutions Integral Calculator

Symbolab Blog Advanced Math Solutions Integral Calculator

6 3 Integration By Parts Tabular Integration Ppt Download

6 3 Integration By Parts Tabular Integration Ppt Download

Integration By Parts She Loves Math

Integration By Parts She Loves Math