How To Do Fraction Exponents


Fraction Exponents Calculator

Fraction Exponents Calculator

Fraction Exponent Into Radicals Examples 2

Fraction Exponent Into Radicals Examples 2

Fractional Exponents Youtube

Fractional Exponents Youtube

How To Convert Square Roots To Exponents Dummies

How To Convert Square Roots To Exponents Dummies

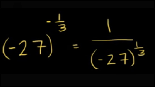
Evaluating Fractional Exponents Negative Unit Fraction Video

Evaluating Fractional Exponents Negative Unit Fraction Video