How To Do Dot Product


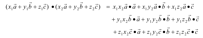
The Dot Product

The Dot Product

6 2 Dot Product

6 2 Dot Product

Answered 0 290 I 0 200 ĵ 0 080 K µt An Bartleby

Answered 0 290 I 0 200 ĵ 0 080 K µt An Bartleby

Https Encrypted Tbn0 Gstatic Com Images Q Tbn 3aand9gcsyazlhwtojahogaifpb6ybxfyfyyrwdizi7n I0mw4 Wopz4nv Usqp Cau

Https Encrypted Tbn0 Gstatic Com Images Q Tbn 3aand9gcsyazlhwtojahogaifpb6ybxfyfyyrwdizi7n I0mw4 Wopz4nv Usqp Cau

The Dot Product Of Two Vectors

The Dot Product Of Two Vectors