How To Calculate Stock Return


How To Calculate Multiple Year Holding Period Returns With

How To Calculate Multiple Year Holding Period Returns With

How Do You Calculate Beta In Excel

How Do You Calculate Beta In Excel

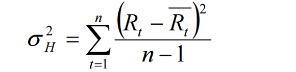
Standard Deviation Overview Calculation Finance Applications

Standard Deviation Overview Calculation Finance Applications

Calculating Expected Portfolio Returns And Portfolio Variances

Calculating Expected Portfolio Returns And Portfolio Variances

Solved Expected Return A Stock S Returns Have The Followi

Solved Expected Return A Stock S Returns Have The Followi