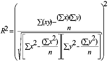
How To Calculate R Squared


R Squared R2 Formula Example Calculation Use Explanation

R Squared R2 Formula Example Calculation Use Explanation

Coefficient Of Determination Calculator R Squared Omni

Coefficient Of Determination Calculator R Squared Omni

How To Add A Trendline And R Squared Value To A Scatter Plot In Excel Youtube

How To Add A Trendline And R Squared Value To A Scatter Plot In Excel Youtube

Regression Basics

Regression Basics

Multiple Regression Analysis Use Adjusted R Squared And Predicted R Squared To Include The Correct Number Of Variables

Multiple Regression Analysis Use Adjusted R Squared And Predicted R Squared To Include The Correct Number Of Variables