How To Calculate Equilibrium Constant From E Cell


Equilibrium Constant K Cell Potential Problems With Ksp

Equilibrium Constant K Cell Potential Problems With Ksp

The Cell In Which The Following Reaction Occurs Br 2fe 3 Aq

The Cell In Which The Following Reaction Occurs Br 2fe 3 Aq

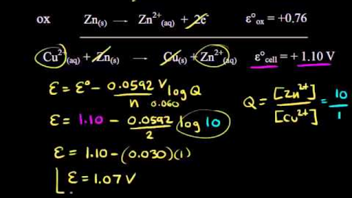
Nernst Equation Wikipedia

Nernst Equation Wikipedia

Calculating The Equilibrium Constant From The Standard Cell

Calculating The Equilibrium Constant From The Standard Cell

Https Encrypted Tbn0 Gstatic Com Images Q Tbn 3aand9gcqtegrzmja8xp5mu3pwvrvu3dkw Omgfikvqiwmemu1e2snenh8 Usqp Cau

Https Encrypted Tbn0 Gstatic Com Images Q Tbn 3aand9gcqtegrzmja8xp5mu3pwvrvu3dkw Omgfikvqiwmemu1e2snenh8 Usqp Cau